Jakob Ungethüm
Schriftliche Abiturprüfung Sachsen 2019
Grundkurs Mathematik
-ERSTTERMIN-
Teil A
Lösungen Aufgabe 1
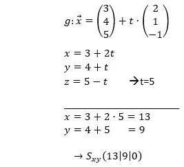
Rechnung:
zurück zur Aufgabenstellung
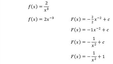
Rechnung:
zurück zur Aufgabenstellung
Rechnung:
zurück zur Aufgabenstellung
Rechnung:
zurück zur Aufgabenstellung
Rechnung:
zurück zur Aufgabenstellung