Jakob Ungethüm
Schriftliche Abiturprüfung Sachsen 2019
Grundkurs Mathematik

-ERSTTERMIN-

Teil A




Lösungen Aufgabe 2







zurück zur Aufgabenstellung


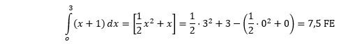
Rechnung:


zurück zur Aufgabenstellung